유공압 자료

유압 공식 자동

정감이 2014. 11. 11. 06:30
반응형

유압 공식 자동

 

유압 관련 자동 공식을 소개해 드립니다.

세상이 좋아서 요즘은

손으로 계산 하는게 아니고

엑셀이 모두 계산해서

숫자만 넣으시면 됩니다.

 

 

1. 실린더의 단면적 계산 공식

 

 

 

 

 

실린더 내경은 80파이인데 보통 단위가 CM로 합니다.

 그래서 로드경은 30파일 일때 3CM로 하면 단면적이 50.24가 됩니다.

 

 

  

 

 

단면적 구하고 난뒤 필요한 중량을 황색부위에 넣으시면

필요한 압력이 산출 됩니다. 현재 5ton이 필요할때는 99.5bar의 압력이 필요합니다.

 

 

  

 

 

 

유량은 행정거리를 넣으시고 필요한 속도

초당 얼마가 가야하는지

그러면 유량이 나옵니다.

현재 6.02 리터가 필요합니다.

 

 

 

 

 

그리고 실린더의 전진시 속도는 1.8초 그리고

후진시 속도는 37.7초 전진 보다는 후진이 더 빠릅니다.

아시죠 후진시는 로드경이 있어서 말입니다.

유량이 더 적게 들어 갑니다.

 

 

 

 

 

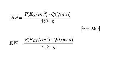
그리고 모터의 마력을 구하는데 사용 압력과 유량을 넣으시면 필요한

모터의 마력이 나옵니다.

 

그래서 실린더 사양 구하고 펌프 사양 구하고

모터 사양 구하고 하면

전체적인 유니트가 됩니다.

참고 하시어 도움이 되었으면 합니다.

 

유압공식자동.xls

 

 

세상은 넓고 할일은 많다.

반응형